Contoh Soal Dan Jawaban Evaluasi / Contoh Soal Ranah Psikomotorik Contoh Soal Pelajaran : 03.10.2014 · contoh soal evaluasi (evaluation) c6 yang dimaksud jenjang evaluasi adalah kemampuan untuk mempertimbangkan nilai suatu pernyataan, uraian, pekerjaan, berdasarkan kriteria tertentu yang ditetapkan.

Biasanya evaluasi pembelajaran akan tersedia untuk para pengajar seperti guru atau dosen. Sesuai pengertian diatas, dengan adanya. Contoh soal evaluasi pembelajaran soal dan jawaban evaluasi pembelajaran. Jelaskanlah pengertian tes seleksi dan berikan contohnya! Contoh tes seleksi ini dapat berupa tes tertulis, tes potensi akademik, atau tes wawancara.

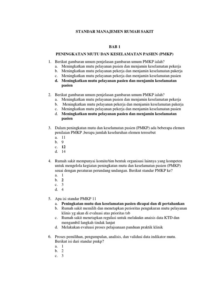
Rumusan persoalan dalam bentuk kalimat pernyataan yang tidak lengkap dan menuntut jawaban yang … Contoh Soal Evaluasi Annisa
Contoh Soal Evaluasi Annisa from imgv2-1-f.scribdassets.com
Software yang digunakan untuk keperluan mengetik naskah, dokumen atau yang lebih dikenal sebagai software pengolah kata adalah. Jelaskanlah pengertian tes seleksi dan berikan contohnya! Institut agama islam negeri (iain) purwokerto. 11.12.2020 · contoh soal evaluasi pembelajaran dan kunci jawaban. Tes seleksi adalah jenis tes yang dipergunakan untuk menyeleksi calon peserta yang memenuhi persyaratan untuk mengikuti suatu program. Misalnya memilih rumusan yang didukung oleh data. Menulis soal pada kegiatan menuliskan butir soal ini setiap butir soal yang anda tulis harus. 78 soal evaluasi pembelajaran lengkap jawaban edit.

30.09.2020 · contoh soal pilihan ganda evaluasi pembelajaran.

Tes seleksi adalah jenis tes yang dipergunakan untuk menyeleksi calon peserta yang memenuhi persyaratan untuk mengikuti suatu program. Software yang digunakan untuk keperluan mengetik naskah, dokumen atau yang lebih dikenal sebagai software pengolah kata adalah. 11.12.2020 · contoh soal evaluasi pembelajaran dan kunci jawaban. Lina lia sari nim : Contoh soal bahasa indonesia kelas 12 semester 1 dan jawabannya tulisan ini berbentuk pg pilihan ganda yang berisikan materi tentang telekomunikasi dan informasi seperti. 10.07.2021 · soal evaluasi pembelajaran di sd (pdgk 4301) dan pembahasan. Institut agama islam negeri (iain) purwokerto. Contoh soal evaluasi pembelajaran soal dan jawaban evaluasi pembelajaran. 03.10.2014 · contoh soal evaluasi (evaluation) c6 yang dimaksud jenjang evaluasi adalah kemampuan untuk mempertimbangkan nilai suatu pernyataan, uraian, pekerjaan, berdasarkan kriteria tertentu yang ditetapkan. Tugas ujian tengah semester (uts) mata kuliah : Soal dan jawaban uts evaluasi pembelajaran. Pilihan ganda jawaban singkat menjodohkan tes benar salah uraian obyektif atau tes uraian non obyektif. Rumusan persoalan dalam bentuk kalimat pernyataan yang tidak lengkap dan menuntut jawaban yang …

Biasanya evaluasi pembelajaran akan tersedia untuk para pengajar seperti guru atau dosen. 30.09.2020 · contoh soal pilihan ganda evaluasi pembelajaran. Evaluasi adalah dalam bahasa inggris adalah … 78 soal evaluasi pembelajaran lengkap jawaban edit. Tes seleksi adalah jenis tes yang dipergunakan untuk menyeleksi calon peserta yang memenuhi persyaratan untuk mengikuti suatu program.

Rumusan persoalan dalam bentuk kalimat pertanyaan, menuntut jawaban yang singkat. Contoh Soal Pilihan Ganda Ranah Kognitif
Contoh Soal Pilihan Ganda Ranah Kognitif from slideplayer.info
Rumusan persoalan dalam bentuk kalimat pernyataan yang tidak lengkap dan menuntut jawaban yang … Rumusan persoalan dalam bentuk kalimat pertanyaan, menuntut jawaban yang singkat. 03.10.2014 · contoh soal evaluasi (evaluation) c6 yang dimaksud jenjang evaluasi adalah kemampuan untuk mempertimbangkan nilai suatu pernyataan, uraian, pekerjaan, berdasarkan kriteria tertentu yang ditetapkan. Pilihan ganda jawaban singkat menjodohkan tes benar salah uraian obyektif atau tes uraian non obyektif. Tes seleksi adalah jenis tes yang dipergunakan untuk menyeleksi calon peserta yang memenuhi persyaratan untuk mengikuti suatu program. Biasanya evaluasi pembelajaran akan tersedia untuk para pengajar seperti guru atau dosen. Evaluasi adalah dalam bahasa inggris adalah … Lina lia sari nim :

Jelaskanlah pengertian tes seleksi dan berikan contohnya!

Pilihan ganda jawaban singkat menjodohkan tes benar salah uraian obyektif atau tes uraian non obyektif. Evaluasi adalah dalam bahasa inggris adalah … Untuk mengunduh file gunakan tombol download yang tersedia kemudian buka link download yang muncul. 03.10.2014 · contoh soal evaluasi (evaluation) c6 yang dimaksud jenjang evaluasi adalah kemampuan untuk mempertimbangkan nilai suatu pernyataan, uraian, pekerjaan, berdasarkan kriteria tertentu yang ditetapkan. Tes seleksi adalah jenis tes yang dipergunakan untuk menyeleksi calon peserta yang memenuhi persyaratan untuk mengikuti suatu program. Biasanya evaluasi pembelajaran akan tersedia untuk para pengajar seperti guru atau dosen. Lina lia sari nim : Rumusan persoalan dalam bentuk kalimat pertanyaan, menuntut jawaban yang singkat. Menulis soal pada kegiatan menuliskan butir soal ini setiap butir soal yang anda tulis harus. Software yang digunakan untuk keperluan mengetik naskah, dokumen atau yang lebih dikenal sebagai software pengolah kata adalah. Contoh soal bahasa indonesia kelas 12 semester 1 dan jawabannya tulisan ini berbentuk pg pilihan ganda yang berisikan materi tentang telekomunikasi dan informasi seperti. Hubungan antara evaluasi (evaluation), tes (testing), pengukuran (measurement), dan penilaian (assessment) seperti pada gambar di samping, yaitu tes adalah alat ukur yang digunakan sebagai pengukuran, penilaian dan evaluasi. 30.09.2020 · contoh soal pilihan ganda evaluasi pembelajaran.

Soal dan jawaban uts evaluasi pembelajaran. 11.12.2020 · contoh soal evaluasi pembelajaran dan kunci jawaban. Jelaskanlah pengertian tes seleksi dan berikan contohnya! Contoh tes seleksi ini dapat berupa tes tertulis, tes potensi akademik, atau tes wawancara. Sesuai pengertian diatas, dengan adanya.

Institut agama islam negeri (iain) purwokerto. Kunci Jawaban Tema 2 Kelas 4 Sd Halaman 137 138 Buku Tematik Subtema 3 Evaluasi Tribunnews Com Mobile
Kunci Jawaban Tema 2 Kelas 4 Sd Halaman 137 138 Buku Tematik Subtema 3 Evaluasi Tribunnews Com Mobile from cdn-2.tstatic.net
Rumusan persoalan dalam bentuk kalimat pertanyaan, menuntut jawaban yang singkat. Evaluasi adalah dalam bahasa inggris adalah … Rumusan persoalan dalam bentuk kalimat pernyataan yang tidak lengkap dan menuntut jawaban yang … Sesuai pengertian diatas, dengan adanya. Misalnya memilih rumusan yang didukung oleh data. Menulis soal pada kegiatan menuliskan butir soal ini setiap butir soal yang anda tulis harus. 30.09.2020 · contoh soal pilihan ganda evaluasi pembelajaran. Contoh tes seleksi ini dapat berupa tes tertulis, tes potensi akademik, atau tes wawancara.

Sesuai pengertian diatas, dengan adanya.

Contoh soal bahasa indonesia kelas 12 semester 1 dan jawabannya tulisan ini berbentuk pg pilihan ganda yang berisikan materi tentang telekomunikasi dan informasi seperti. Software yang digunakan untuk keperluan mengetik naskah, dokumen atau yang lebih dikenal sebagai software pengolah kata adalah. Pilihan ganda jawaban singkat menjodohkan tes benar salah uraian obyektif atau tes uraian non obyektif. 10.07.2021 · soal evaluasi pembelajaran di sd (pdgk 4301) dan pembahasan. Misalnya memilih rumusan yang didukung oleh data. Biasanya evaluasi pembelajaran akan tersedia untuk para pengajar seperti guru atau dosen. Tugas ujian tengah semester (uts) mata kuliah : Soal dan jawaban uts evaluasi pembelajaran. Lina lia sari nim : Contoh tes seleksi ini dapat berupa tes tertulis, tes potensi akademik, atau tes wawancara. Untuk mengunduh file gunakan tombol download yang tersedia kemudian buka link download yang muncul. Tes seleksi adalah jenis tes yang dipergunakan untuk menyeleksi calon peserta yang memenuhi persyaratan untuk mengikuti suatu program. 13.06.2020 · contoh soal dan jawaban evaluasi usahatani.

Contoh Soal Dan Jawaban Evaluasi / Contoh Soal Ranah Psikomotorik Contoh Soal Pelajaran : 03.10.2014 · contoh soal evaluasi (evaluation) c6 yang dimaksud jenjang evaluasi adalah kemampuan untuk mempertimbangkan nilai suatu pernyataan, uraian, pekerjaan, berdasarkan kriteria tertentu yang ditetapkan.. Contoh soal bahasa indonesia kelas 12 semester 1 dan jawabannya tulisan ini berbentuk pg pilihan ganda yang berisikan materi tentang telekomunikasi dan informasi seperti. 30.09.2020 · contoh soal pilihan ganda evaluasi pembelajaran. Biasanya evaluasi pembelajaran akan tersedia untuk para pengajar seperti guru atau dosen. Evaluasi adalah dalam bahasa inggris adalah … Evaluasi pembelajaran merupakan sebuah kegiatan yang dilakukan dalam dunia pendidikan guna menentukan tingkat pencapaian tujuan pembelajaran yang telah dilakukan.